출처 : 한국전기기술인협회 협회지
Q. 154kV 계통 변전소에 다음과 같은 정격전압 및 용량을 가진 3권선 변압기가 설치되어 있다. 다음 각 물음에 답하시오. (단, 기타 주어지지 않은 조건은 무시한다.)
| 조건 | 1차 | 2차 | 3차 |
| 전압 (kV) | 154 | 66 | 23 |
| 용량 (MVA) | 100 | 100 | 50 |
| %리액턴스 | %X12 : 9% (100MVA 기준) | %X23 : 3% (50MVA 기준) | %X31 : 8.5% (50MVA 기준) |
Q1. 각 권선의 %리액턴스를 100MVA 기준으로 구하고, 각 권선 용량 기준으로 환산하여 구하시오.

A1
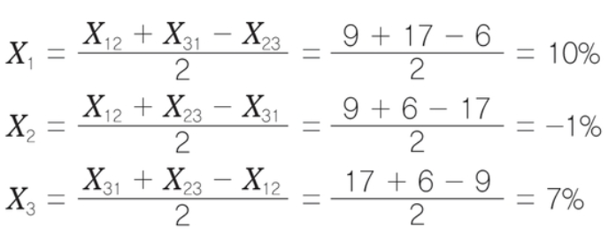
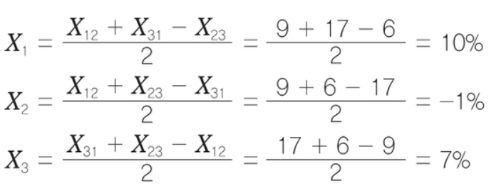
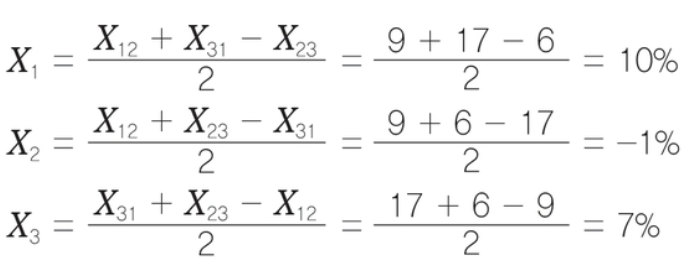
[그림 1]의 (a)에서 100MVA 기준으로 각 권선의 %리액턴스를 환산하면,

따라서 . [그림 1]의 (b)에서 X1, X2, X3 을 각각 구하면,

그리고, 각 권선 용량 기준으로 환산하면 다음과 같다.

Q2. 1차 입력이 100MVA(역률 0.9 lead)이고, 3차에 50MVA의 전력용 커패시터가 접속되어 있을 때, 2차 출력 및 역률을 구하시오.

A2
각 권선의 피상전력을 W1, W2, W3 라고 하면, [그림 2]와 같은 벡터도를 그릴 수 있다. 그림의 벡터도를 이용해서 풀면 다음과 같다.

다른 방법으로 풀면 다음과 같다.

2023.01.05 - [전기공부] - 건축물에 설치하는 경관조명 설계 시 빛공해 영향 및 방지대책
건축물에 설치하는 경관조명 설계 시 빛공해 영향 및 방지대책
출처 : 전기기술인협회 협회지 1. 경관조명의 용어 정의 '인공조명에 의한 빛공해 방지법 및 서울시 빛환경 업무 메뉴얼, 서울시 미디어 시설물의 설치와 관리에 관한 기준' 에서 정하고 있는 사
inside114.com
2023.01.06 - [전기공부] - 우리나라의 배전계통을 22.9kV-y 3상 4선식 다중접지방식으로 선정한 이유
우리나라의 배전계통을 22.9kV-y 3상 4선식 다중접지방식으로 선정한 이유
출처 : 전기기술입협회 협회지 1. 용어의 개념 정리 ⓛ 중성점 단일접지방식 (Unigrounded System) : 중성점만을 접지하는 방법 ② 중성선 다중접지방식 (Multigrounded-Y System) : 중성점을 포함하여 중성선
inside114.com
2023.09.18 - [전기공부] - 공동주택에 설치하는 지능형 홈네트워크 설비의 사용기기 종류와 설치방법
공동주택에 설치하는 지능형 홈네트워크 설비의 사용기기 종류와 설치방법
출처 : 한국전기기술인협회 협회지 1. 홈네트워크설비의 용어 정의 1) 홈네트워크설비 주택의 성능과 주거의 질 향상을 위하여 세대 또는 주택단지 내 지능형 정보통신 및 가전기기 등의 상호 연
inside114.com
'전기공부' 카테고리의 다른 글
| 배전실무 I - 1. 전기품질관리 001 (0) | 2023.07.13 |
|---|---|
| 건축물 비구조요소인 전기설비의 일반적인 내진설계 기준 (0) | 2023.06.16 |
| 013_전력구입계약(PPA)_태양광발전 유지관리 및 용어설명 (0) | 2023.03.27 |
| 012_전력구입계약(PPA)_태양광발전 RPS제도 (0) | 2023.03.24 |
| 011_전력구입계약(PPA)_태양광발전 전력거래대금 세금계산서 (0) | 2023.03.23 |
댓글